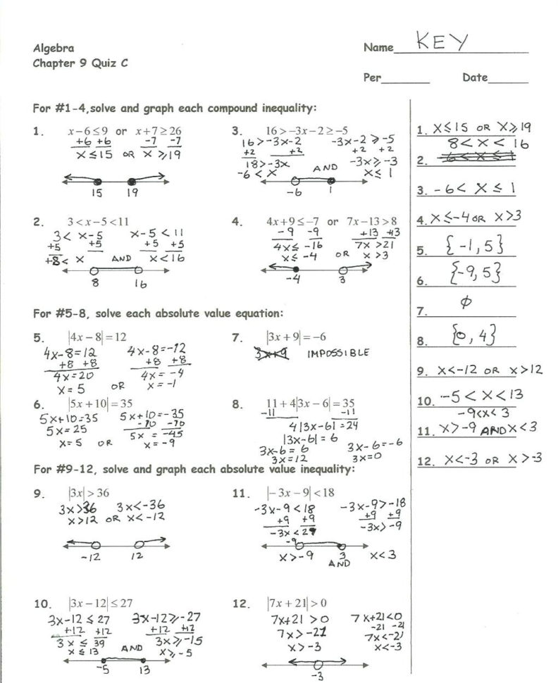
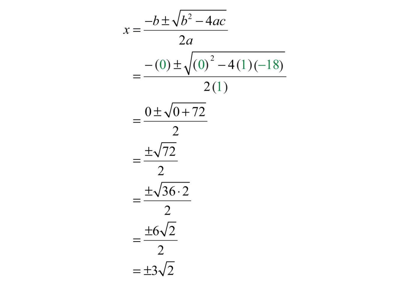
Using The Quadratic Formula Worksheet Answers in a learning moderate can be utilized to try students qualities and knowledge by addressing questions. Because in the Scholar Worksheet about 90% of the articles of the complete guide are issues, equally multiple choice and solution issues that aren’t available. While the rest includes a brief summary of the topic matter. Using worksheet, educators no further have to trouble to collect issues or questions. With the press the teacher is only needed to concentrate on providing a maximum understanding of the given subject. For the evaluation and check of studying outcomes, the instructor only needs to inform and strong the issues currently available in the worksheet. Since more or less the worksheet acts as a guide for pupils in holding out studying projects equally individually and in groups.
The Character of Using The Quadratic Formula Worksheet Answers in Studying
Using The Quadratic Formula Worksheet Answers as a derivative of big concepts solution questions. Applying Worksheets indicates facilitating students to have the ability to solution questions about topics they’ve learned. With the Worksheet, pupils may understand the topic subject as a whole more easily. Since addressing the questions in the Worksheet is the same as studying a subject over and once again, obviously students will understand deeply. Making Worksheets a musical instrument of training and learning actions is a successful technique for instruction pupils memories in understanding matter matter. Because when using Worksheets, pupils are centered on addressing the questions which can be currently available. Using Worksheets has been proven to guide student learning achievement.
Using The Quadratic Formula Worksheet Answers are a form of learning aid. Generally speaking the Worksheet is an understanding tool as a complement or even a method of promoting the implementation of the education Plan. Scholar worksheets in the proper execution of sheets of report in the proper execution of information and questions (questions) that must be solved by students. This Using The Quadratic Formula Worksheet Answers is perfectly used to inspire the involvement of pupils in education both used in the application form of led strategies and to provide development training. Along the way of learning, Worksheets intention to locate ideas and application of concepts.
Factors to Contemplate When Producing Using The Quadratic Formula Worksheet Answers
Using The Quadratic Formula Worksheet Answers are a stimulus or teacher guidance in education which will be presented in writing to ensure that in publishing it needs to focus on the requirements of graphic press as visual press to attract the interest of students. At the very least the Worksheet as a press card. As the contents of the meaning of the Worksheet must pay attention to the elements of writing visual press, the hierarchy of the substance and the selection of issues as an efficient and successful stimulus. Through the Worksheet the teacher requires pupils to answer the questions which have been available following raising particular topic matter. Equally individually and in groups.
Conceptually, Using The Quadratic Formula Worksheet Answers are a learning medium for instruction students storage on classes discovered in the classroom. Worksheets can also be regarded as the application form of the question bank idea to coach scholar intelligence. In addition, Worksheets can also be applied to evaluate periodic education outcomes whose status is informal. Educators can use Worksheets to discover scholar understanding of the niche subject that’s been submitted.
Great things about Using The Quadratic Formula Worksheet Answers in Studying
Using The Quadratic Formula Worksheet Answers can be used as self-teaching, educating pupils to be independent, comfortable, disciplined, and responsible and could make decisions. Educational Worksheets in training and education actions may be properly used at the point of principle planting (conveying new concepts) or at the period of knowledge concepts (the sophisticated period of idea planting). Using worksheets in the concept understanding stage ensures that Worksheets are accustomed to examine a subject with the intention of deepening the data of subjects which were learned in the previous period, namely idea planting.
