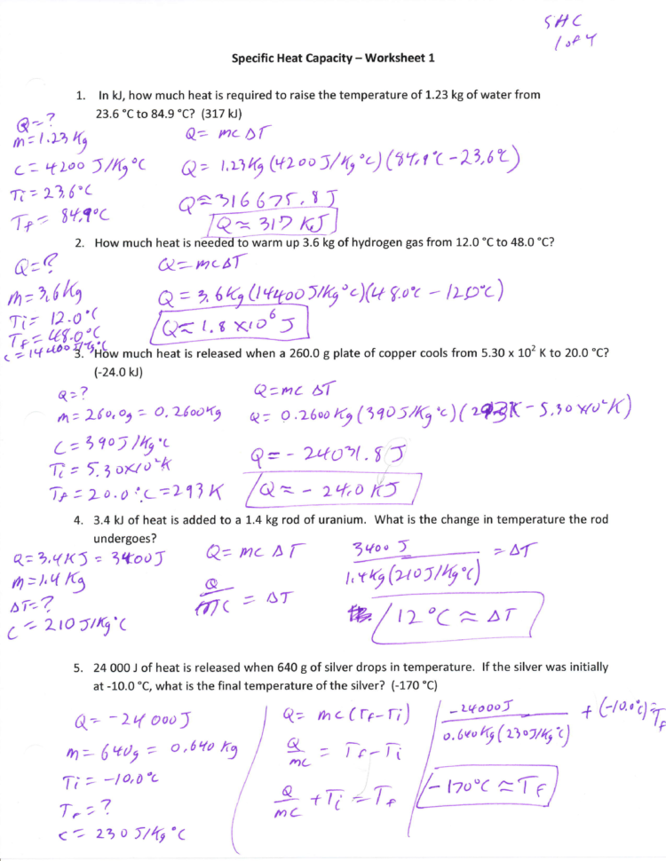
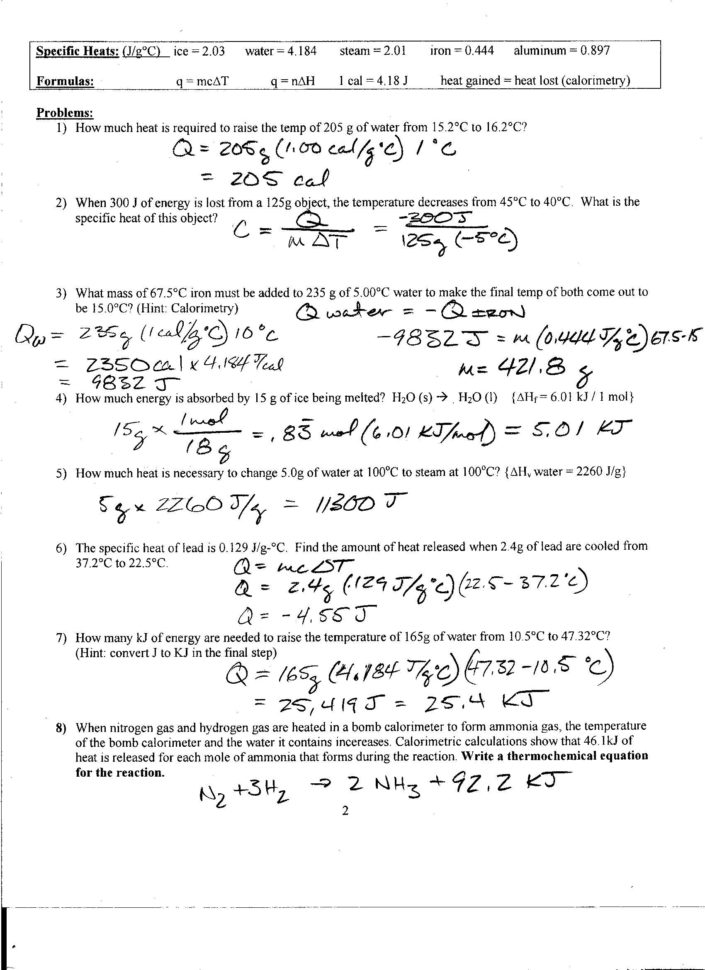
Specific Heat Worksheet Answers in a learning moderate may be used to test students skills and understanding by answering questions. Since in the Scholar Worksheet about 90% of the contents of the complete guide are questions, both multiple decision and answer issues which are not available. While the remainder includes a brief overview of the niche matter. Using worksheet, teachers no longer need certainly to trouble to get issues or questions. With the press the teacher is only expected to concentrate on giving a maximum knowledge of the given subject. For the evaluation and check of studying outcomes, the instructor only needs to inform and strong the issues presently available in the worksheet. Because pretty much the worksheet works as a guide for students in carrying out studying projects equally separately and in groups.
The Nature of Specific Heat Worksheet Answers in Education
Specific Heat Worksheet Answers as a derivative of big ideas solution questions. Applying Worksheets suggests facilitating pupils to be able to solution issues about topics they have learned. With the Worksheet, students may understand the subject matter as a whole more easily. Because answering the questions in the Worksheet is the same as researching a matter around and once again, of course students can realize deeply. Creating Worksheets a musical instrument of training and education activities is an effective strategy for instruction pupils thoughts in mastering topic matter. Since when utilizing Worksheets, students are dedicated to addressing the questions which can be previously available. Applying Worksheets has been proven to aid scholar studying achievement.
Specific Heat Worksheet Answers are a form of learning aid. Generally speaking the Worksheet is an understanding instrument as a match or perhaps a way of encouraging the implementation of the learning Plan. Scholar worksheets in the form of blankets of report in the proper execution of data and issues (questions) that must be solved by students. That Specific Heat Worksheet Answers is very well used to encourage the involvement of students in learning both found in the applying of led strategies and to provide progress training. Along the way of learning, Worksheets intention to locate methods and software of concepts.
Items to Contemplate When Creating Specific Heat Worksheet Answers
Specific Heat Worksheet Answers really are a stimulus or instructor advice in education which will be shown in publishing in order that in publishing it needs to pay attention to the criteria of graphic media as aesthetic press to entice the attention of students. At the least the Worksheet as a media card. While the articles of the concept of the Worksheet must look closely at the weather of writing graphic press, the hierarchy of the substance and the choice of issues as an effective and efficient stimulus. Through the Worksheet the teacher requires students to solution the questions which were accessible following raising certain subject matter. Both privately and in groups.
Conceptually, Specific Heat Worksheet Answers are an understanding moderate for instruction students storage on instructions learned in the classroom. Worksheets can be regarded as the application form of the issue bank theory to coach student intelligence. Additionally, Worksheets can be used to gauge periodic learning outcomes whose position is informal. Educators can use Worksheets to discover student understanding of the niche matter that’s been submitted.
Great things about Specific Heat Worksheet Answers in Learning
Specific Heat Worksheet Answers can be used as self-teaching, educating students to be separate, confident, disciplined, and responsible and will make decisions. Educational Worksheets in teaching and studying activities can be utilized at the stage of principle planting (conveying new concepts) or at the period of understanding concepts (the sophisticated point of principle planting). Usage of worksheets in the idea knowledge stage means that Worksheets are accustomed to examine a topic with the purpose of deepening the knowledge of subjects which were realized in the last point, specifically notion planting.
