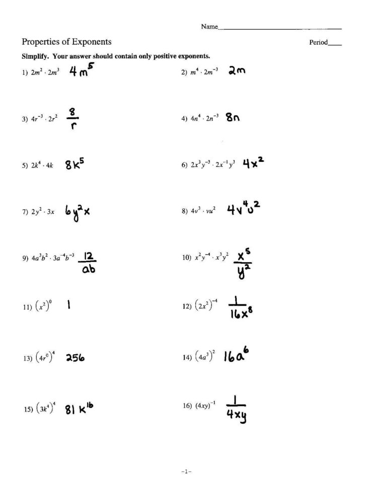
Properties Of Logarithms Worksheet in an understanding moderate can be utilized to check students skills and knowledge by answering questions. Since in the Scholar Worksheet about 90% of the articles of the complete guide are questions, both multiple decision and answer issues that aren’t available. While the others is made up of brief overview of the topic matter. Applying worksheet, teachers no more need to trouble to collect questions or questions. With the press the instructor is only required to target on giving a optimum knowledge of the specified subject. For the evaluation and test of studying outcomes, the instructor only wants to share with and strong the issues already obtainable in the worksheet. Because more or less the worksheet acts as a guide for pupils in carrying out learning tasks equally individually and in groups.
The Nature of Properties Of Logarithms Worksheet in Education
Properties Of Logarithms Worksheet as a derivative of large concepts answer questions. Using Worksheets indicates facilitating pupils to be able to solution issues about topics they have learned. With the Worksheet, students can realize the subject matter as a whole more easily. Because answering the issues in the Worksheet is the same as learning about a matter around and once more, obviously students will understand deeply. Making Worksheets a guitar of training and studying activities is a successful technique for instruction students thoughts in learning topic matter. Because when utilizing Worksheets, students are focused on addressing the questions which can be previously available. Applying Worksheets has been established to aid student learning achievement.
Properties Of Logarithms Worksheet are a kind of studying aid. Generally the Worksheet is an understanding tool as a match or even a method of promoting the implementation of the studying Plan. Scholar worksheets in the form of blankets of report in the proper execution of information and questions (questions) that must be solved by students. This Properties Of Logarithms Worksheet is very well applied to encourage the involvement of pupils in studying equally used in the application of guided practices and to supply development training. In the process of learning, Worksheets purpose to find ideas and program of concepts.
Items to Consider When Making Properties Of Logarithms Worksheet
Properties Of Logarithms Worksheet are a stimulus or instructor advice in education which is shown in writing so that in publishing it must look closely at the requirements of visual press as visible press to entice the eye of students. At the very least the Worksheet as a press card. Whilst the articles of the information of the Worksheet should look closely at the weather of writing graphic press, the hierarchy of the material and the choice of questions as an efficient and effective stimulus. Through the Worksheet the instructor requires pupils to solution the issues that have been accessible after raising particular topic matter. Equally professionally and in groups.
Conceptually, Properties Of Logarithms Worksheet are an understanding medium for teaching students storage on instructions learned in the classroom. Worksheets may also be considered as the application of the issue bank principle to coach student intelligence. In addition, Worksheets can be used to judge periodic education outcomes whose position is informal. Teachers may use Worksheets to discover scholar understanding of the subject matter that’s been submitted.
Advantages of Properties Of Logarithms Worksheet in Studying
Properties Of Logarithms Worksheet may be used as self-teaching, teaching students to be separate, comfortable, disciplined, and responsible and will make decisions. Educational Worksheets in training and education actions can be utilized at the stage of concept planting (conveying new concepts) or at the point of knowledge methods (the advanced point of idea planting). Usage of worksheets in the style understanding stage implies that Worksheets are accustomed to study a topic with the intention of deepening the knowledge of subjects which have been realized in the previous period, specifically concept planting.
