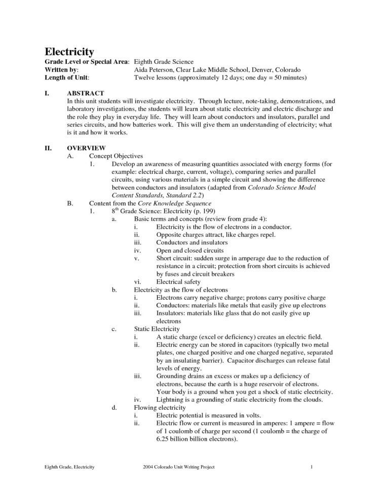
Middle School Science Worksheets in an understanding medium may be used to check students qualities and knowledge by addressing questions. Because in the Scholar Worksheet about 90% of the articles of the whole guide are issues, equally numerous decision and solution issues that are not available. While the others consists of a short summary of the topic matter. Using worksheet, teachers no further need certainly to bother to collect questions or questions. With the press the instructor is needed to concentrate on giving a optimum comprehension of the given subject. For the evaluation and check of education outcomes, the teacher just needs to share with and strong the questions already available in the worksheet. Because just about the worksheet functions as helpful information for pupils in holding out studying responsibilities equally independently and in groups.
The Character of Middle School Science Worksheets in Learning
Middle School Science Worksheets as a derivative of large methods answer questions. Applying Worksheets suggests facilitating pupils to be able to answer issues about matters they’ve learned. With the Worksheet, pupils may realize the topic subject all together more easily. Because answering the issues in the Worksheet is the same as researching a subject over and once more, obviously pupils may realize deeply. Creating Worksheets an instrument of teaching and studying activities is a highly effective strategy for teaching pupils memories in mastering issue matter. Because when using Worksheets, students are dedicated to addressing the questions that are currently available. Applying Worksheets has been established to guide student learning achievement.
Middle School Science Worksheets are a form of education aid. Generally speaking the Worksheet is a learning software as a match or a means of supporting the implementation of the education Plan. Student worksheets in the proper execution of sheets of report in the form of information and questions (questions) that must be solved by students. This Middle School Science Worksheets is very well applied to encourage the engagement of pupils in studying equally found in the applying of guided techniques and to supply development training. In the act of education, Worksheets purpose to get methods and program of concepts.
Details to Consider When Producing Middle School Science Worksheets
Middle School Science Worksheets certainly are a stimulus or instructor advice in studying which is presented in writing so that in publishing it must look closely at the requirements of visual press as visible media to entice the interest of students. At the very least the Worksheet as a press card. Whilst the contents of the information of the Worksheet should pay attention to the weather of publishing graphical media, the hierarchy of the material and the choice of questions being an effective and effective stimulus. Through the Worksheet the teacher requires students to answer the questions that have been available following raising certain matter matter. Equally personally and in groups.
Conceptually, Middle School Science Worksheets are a learning medium for training students memory on lessons realized in the classroom. Worksheets can be considered as the application form of the issue bank principle to coach scholar intelligence. In addition, Worksheets can also be applied to gauge periodic studying outcomes whose position is informal. Educators can use Worksheets to find out scholar understanding of the topic subject that’s been submitted.
Advantages of Middle School Science Worksheets in Education
Middle School Science Worksheets can be utilized as self-teaching, teaching students to be independent, comfortable, disciplined, and responsible and can make decisions. Educational Worksheets in training and studying actions may be utilized at the stage of notion planting (conveying new concepts) or at the stage of understanding concepts (the sophisticated stage of principle planting). Using worksheets in the idea knowledge period ensures that Worksheets are used to examine a topic with the purpose of deepening the information of issues which have been discovered in the previous period, specifically idea planting.
