At the event that you wish to earn your record more protected, you may also convert excel to PDF to prevent the misuse of the data in the spreadsheet. You may also import your current documents to Google Docs. Google Records has a Spreadsheet feature that also enables you to make a form that can be hosted online.
Because it is a spreadsheet, you can do anything you want. When you publish your own spreadsheet, you want to receive your spreadsheet ID. Spreadsheets incorporate a selection of formatting and presentation options which not only improve readability, but additionally help it become feasible to utilize the information in external reports and demonstrations. For monitoring sales commissions it’s usually simpler to use a spreadsheet particularly if you’ve got several sales commissions each sale. As soon as you’ve printed your spreadsheet, make a new graph or edit existing one and visit the second step, which lets you upload your CSV file. You can also locate the spreadsheet on your Drive.
For returning users, you may want to confirm their email is accurate. Also multiple individuals are able to be inputting information on the identical spreadsheet. Once you get your search results, you may use a filter to notify your bot what to do. Browse through the search results, and pick out the newsletter template which works best for your own requirements. Google even provides a completely free template gallery with various flyer choices that you can choose and customize. You will also learn to use a bot to look for info within a spreadsheet, and then update it if desired. For the filter, you would like your bot to look at the results count.
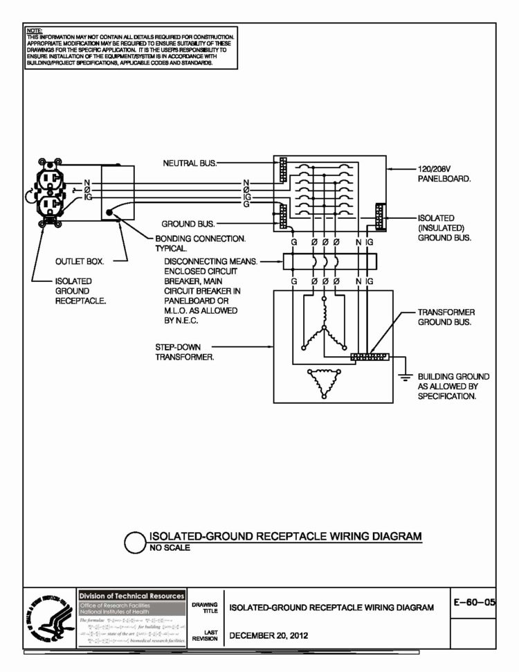
Sample for Ground Anchor Design Spreadsheet
