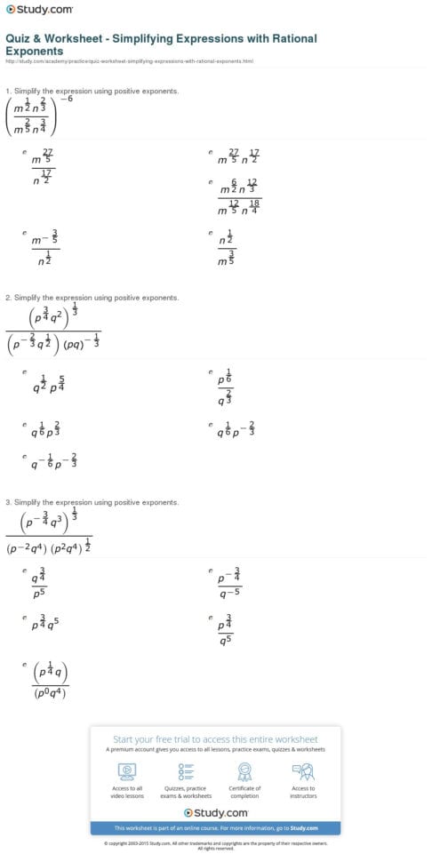
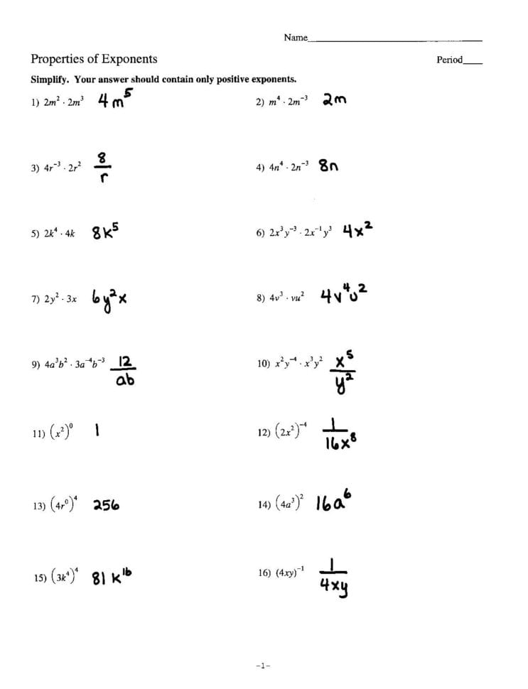
Exponents And Radicals Worksheet With Answers in a learning moderate can be utilized to try pupils abilities and knowledge by answering questions. Since in the Student Worksheet about 90% of the articles of the whole book are questions, both multiple choice and answer issues which are not available. While the rest includes a short summary of the niche matter. Applying worksheet, educators no longer have to trouble to collect questions or questions. With the press the instructor is just required to focus on giving a maximum comprehension of the specified subject. For the evaluation and check of education outcomes, the teacher just wants to see and strong the issues previously for sale in the worksheet. Since just about the worksheet functions as helpful information for pupils in holding out studying responsibilities both individually and in groups.
The Character of Exponents And Radicals Worksheet With Answers in Studying
Exponents And Radicals Worksheet With Answers as a derivative of large ideas answer questions. Using Worksheets indicates facilitating pupils to be able to solution questions about matters they have learned. With the Worksheet, students can understand the niche matter in general more easily. Because addressing the issues in the Worksheet is the same as researching a subject over and once again, of course pupils can realize deeply. Making Worksheets a musical instrument of training and education actions is a powerful strategy for teaching students memories in understanding subject matter. Because when working with Worksheets, pupils are dedicated to addressing the issues which are currently available. Applying Worksheets has been proven to support scholar education achievement.
Exponents And Radicals Worksheet With Answers are a form of education aid. Generally speaking the Worksheet is a learning software as a complement or perhaps a means of supporting the implementation of the education Plan. Scholar worksheets in the proper execution of blankets of report in the form of data and questions (questions) that must be solved by students. That Exponents And Radicals Worksheet With Answers is well used to encourage the involvement of pupils in studying both utilized in the application of led techniques and to provide growth training. Along the way of education, Worksheets purpose to find ideas and application of concepts.
Points to Contemplate When Producing Exponents And Radicals Worksheet With Answers
Exponents And Radicals Worksheet With Answers really are a stimulus or instructor guidance in learning which will be shown in publishing to ensure that in publishing it must pay attention to the conditions of visual press as visible media to attract the eye of students. At least the Worksheet as a media card. As the articles of the information of the Worksheet must look closely at the elements of publishing visual press, the hierarchy of the material and the choice of issues being an efficient and efficient stimulus. Through the Worksheet the teacher requires students to answer the questions which were accessible following raising certain topic matter. Equally privately and in groups.
Conceptually, Exponents And Radicals Worksheet With Answers are a learning moderate for training pupils storage on instructions realized in the classroom. Worksheets can also be regarded as the application form of the issue bank theory to teach scholar intelligence. Additionally, Worksheets may also be used to evaluate periodic education outcomes whose status is informal. Educators can use Worksheets to learn student familiarity with the niche subject that has been submitted.
Advantages of Exponents And Radicals Worksheet With Answers in Studying
Exponents And Radicals Worksheet With Answers can be utilized as self-teaching, teaching students to be independent, confident, disciplined, and responsible and could make decisions. Educational Worksheets in teaching and studying activities can be utilized at the stage of principle planting (conveying new concepts) or at the point of understanding concepts (the sophisticated period of notion planting). Utilization of worksheets in the idea understanding point means that Worksheets are accustomed to examine a topic with the intention of deepening the data of topics which were realized in the last point, particularly principle planting.
