Exponent Review Worksheet Answers at a Glance
After the worksheet is started, it is a really straightforward issue to maintain it updated. Using Worksheets suggests facilitating pupils to get the capability to answer issues about matters they’ve learned. They can also be regarded as the application form of the question bank idea to train student intelligence. Sometimes the generated worksheet isn’t precisely what you desire. Nowadays you’ve got your own regular monthly budget worksheet.
When working with a whole lot of information, you might make various worksheets to aid arrange your workbook and ensure it is less tough to discover web content. Pick another worksheet to discover exactly the way the color will surely show up as soon as the worksheet isn’t picked. The estimating worksheet was made to direct you. It is designed to direct you through the estimation practice.
Worksheets assist concentrate your power and make an apparently thorough task straightforward to execute. Reading understanding worksheets ought to be formed moderately. It’s possible that you name your spreadsheet whatever you want. Open the spreadsheet you’d love to publish. The spreadsheet needs to be made in… Spreadsheets might even be employed to make tournament brackets. Each worksheet has columns and rows. A month-to-month budget plan worksheet is essential to guarantee you have total control over your finances.
The Do’s and Don’ts of Exponent Review Worksheet Answers
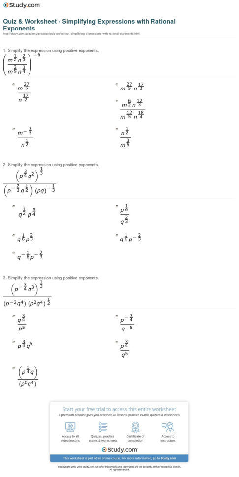
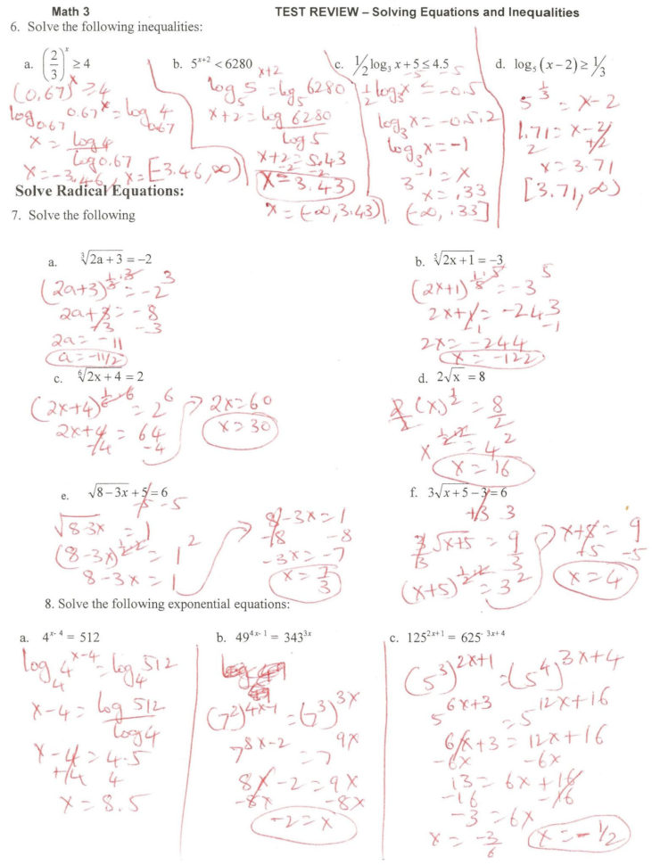
Is to get your ideas out. Thanks for visiting our site. The data could include exact coordinates, addresses, or maybe only the title of a particular site. You’ll discover more about the folks you serve as you grow with your organization. Here’s a graphic preview for all the Exponents Worksheets.
Top Exponent Review Worksheet Answers Secrets
There are a fantastic deal of worksheets on the web to assist people follow the ideal treatments for an identification theft case. Production Budget includes the majority of the overall accounts. Month-to-month budgeting is a standard difficulty.
A Customer Avatar makes it possible for you to establish the characteristics of those who like to buy what you’re selling. Possessing a great Customer Avatar gives you an ability to communicate powerfully with the folks that are most likely to become your customers. You could also upload your own personal and increase your image.
There are a couple columns in the worksheet which won’t constantly be shown even in the event you inspect them. While the rest is made up of brief overview of the topic matter. So here is a direct cash flow program. So following is a cash flow program. Here you are at our site. At this time we’re delighted to announce we’ve found an awfully intriguing content to be reviewed. Accordingly, if you’re not sure whether certain material of yours is protected by copyright laws, we recommend that you first contact a lawyer.
You ought to understand how to project cash flow. It’s possible to select unique variables to customize these Exponents Worksheets for your requirements. The top part of the worksheet contains an account summary. Don’t forget, it’s an interface for non-technical users to look at the data also. Don’t forget, it is a significant interface for non-technical users to have a look at the data too. Templates might be helpful the moment you’re trying to lose or maintain your weight that’s existing. Despite a superior template you might not have a handle on where to start.
Finding the Best Exponent Review Worksheet Answers
For more aid getting going, make certain to have a peek at our Exactly how to create a Budget Guide. They change based on the program. They vary based on the program. It is a really great programme made by Microsoft. It’s an extremely great programme made by Microsoft.
There are a great deal of chart excel templates from the net. There are a great deal of gantt chart excel templates from the world wide web. By means of example, if he understands his performance is going to be judged dependent on achievement of a target, he’ll work more difficult to attain it.
After you’re trying to lose or maintain your weight, templates might also be helpful. By analyzing your expenses and also where it’s possible to cut down, you’ll have the capability to save much more. They are more prone to try their level best to find the goal if workers feel they were a component of producing the objective.
At any moment, somebody will have a number of things he wants to achieve in regards to short term and long term. At any particular time, he will have a number of things he wishes to achieve when it comes to long term and short term. There are a lot of means. There are a lot of ways to do a cash flow program. The outcome is at the best time of evaluation, there’s a lot of confusion. A good example is offered below. They may be made use of for quite a few grade levels.
